Apr. 21, 2026
In the modern landscape of global infrastructure and industrial expansion, the balance between performance and project economy has never been more critical. As we navigate the economic shifts of 2026, the VLV cable (Aluminum Core, PVC Insulated, PVC Sheathed Power Cable) has emerged as a strategic alternative to traditional copper cabling.
While copper has long been the default choice for electrical conductivity, the volatility of base metal markets and the drive for leaner construction budgets have brought VLV cables back into the spotlight for medium and large-scale power distribution. This guide explores the technical architecture, economic advantages, and strategic implementation of VLV cabling in modern engineering.

In the nomenclature of power cables, VLV is not merely a product code; it is a description of its engineering DNA:
V (First): PVC (Polyvinyl Chloride) Insulation.
L: Aluminum Conductor (from the Latin Luteum, though more commonly associated with Lightweight in modern industry).
V (Second): PVC External Sheath.
A high-quality VLV cable consists of high-purity aluminum conductors, typically annealed to improve flexibility. These are encased in a primary layer of PVC insulation that provides the necessary dielectric strength to prevent leakage and short circuits. The outer PVC jacket serves as a robust barrier against moisture, abrasion, and chemical exposure.
For procurement managers and electrical engineers, the "spec sheet" is where the decision is made. VLV cables are primarily designed for fixed installations with a rated voltage of 0.6/1kV.
In 2026, compliance is non-negotiable. Top-tier VLV cables are manufactured to meet:
IEC 60502-1: The international benchmark for power cables with extruded insulation.
GB/T 12706: Often cited in large-scale industrial projects across Asia and Africa.
CE & RoHS: Ensuring environmental safety and chemical restriction compliance.
| Feature | Parameter |
| Rated Voltage ($U_0/U$) | 0.6/1 kV |
| Max Conductor Temp (Continuous) | 70°C |
| Short Circuit Temp (Max 5s) | 160°C |
| Minimum Bending Radius | 15x Cable Diameter (Single Core) / 12x (Multi-core) |
| Installation Temp | Above 0°C |
The most compelling reason to source VLV cable wholesale is the Return on Investment (ROI). In a world where project margins are tightening, the price delta between aluminum and copper cannot be ignored.
Aluminum is approximately 70% lighter than copper. In a project requiring 10,000 meters of heavy-gauge cabling, the logistics savings alone—including shipping costs, crane rental for installation, and man-hours—can reduce total installation costs by 15-20%.
While copper has higher conductivity, aluminum’s conductivity is approximately 61% of copper's. To compensate, engineers simply use a larger cross-sectional area.
The Physics Advantage: An aluminum conductor with the same current-carrying capacity as a copper conductor is still significantly lighter and, more importantly, costs roughly one-third to one-half the price of its copper equivalent.
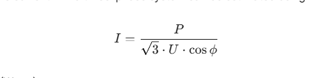
For engineers, calculating the required cross-section for a VLV cable is critical to avoid overheating. The current $I$ in a three-phase system can be estimated using:

P: Power (Watts)
U: Line Voltage (Volts)
$\cos \phi$: Power Factor
When selecting a VLV cable, the cross-section must be derated based on the ambient temperature and the method of installation (e.g., in-air vs. direct burial).
Where does the VLV cable perform best? Understanding the ideal environment ensures long-term system reliability.
Large manufacturing plants with high-current requirements often use VLV cables for main supply lines where cable weight can impact the structural integrity of cable trays and racks.
For municipal power distribution and street lighting, the lower theft-value of aluminum compared to copper makes VLV cables a more secure long-term investment in public infrastructure.
Due to their lower cost, VLV cables are the preferred choice for providing power to temporary sites, cranes, and worker housing in large-scale real estate developments.
The most common concern with VLV cable is the oxidation of the aluminum conductor at connection points. To ensure a "Set-and-Forget" installation, professional contractors follow these protocols:
Bi-metallic Lugs: Never connect aluminum directly to copper terminals. Always use bi-metallic transition lugs to prevent galvanic corrosion.
Contact Grease: Apply anti-oxidation grease to the stripped conductor ends before crimping.
Torque Calibration: Aluminum has a different thermal expansion coefficient than copper. Ensure all terminals are torqued to the manufacturer's exact specifications to prevent loosening over time.
The 2026 global market prioritizes sustainability. Aluminum is one of the most recyclable metals on the planet.
Reduced Carbon Footprint: The lower energy required to refine and transport aluminum (due to its weight) gives VLV cables a favorable life-cycle assessment (LCA) compared to copper.
Recycled Content: Many modern VLV cables now incorporate recycled aluminum and lead-free PVC, aligning with ESG (Environmental, Social, and Governance) goals for corporate projects.
Q: Can VLV cable be used in underground installations?
A: Yes, the PVC sheath provides excellent moisture resistance. However, for areas with high soil acidity or mechanical stress, we recommend the VLV22 variant, which features steel tape armoring for extra protection.
Q: Why is VLV often preferred over VV for long-distance transmission?
A: Cost and sag. For long spans, the weight of copper (VV) requires more robust support structures. The lightweight nature of VLV cable allows for greater distances between supports, significantly lowering the total project cost.
Q: Does VLV cable require special maintenance?
A: Once installed correctly with bi-metallic connectors, VLV requires no more maintenance than copper. The key is the initial quality of the termination.
The VLV cable represents a triumph of practical engineering over tradition. By understanding the material properties and following professional installation standards, engineers and procurement officers can achieve significant cost savings without sacrificing the safety or longevity of their electrical systems.
Ready to optimize your project’s electrical budget? Our technical team provides custom-cut VLV cable solutions, complete with international certification and competitive wholesale pricing for the 2026 market.
[Request a Bulk Quote] | [Download Technical Data Sheet] | [Consult with a Cable Engineer]